
内容介紹
安葬一系列操作方法,還有在安葬的時候碰到其他巫師來搞破壞採取的法術,此書頁數雖少,此乃真傳密本,有緣得之者珍惜為要! 【安葬全套】即是從起壇到開山破土、下葬、封土、祭拜等一系列操作,完整的工序稱為全套,雖然頁數不多但已經包括完整事項和工序了,具體內容大概如下:
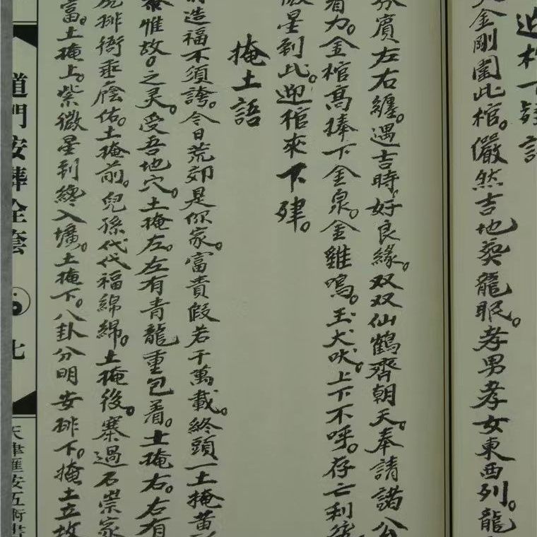
【敕孝一宗】【開山破土語】【給地契語】【畫八卦語】【散祿米語】【迎棺下語】【掩土語】【回靈語】【安靈語】【補土復山語】【祝龍語】【畫卦語】【又畫卦語】【掃塘語】【地師接米答曰】【畫卦已週贊卦語】【下肄語】【囑龍文】 【掩土文】【掩土二章】【八經八】【其二】【給契語】【復山語】【地契式】【又契約】【退土式】【收喪臭穢用】 【雪山秘法】【收喪秘法】【收喪真言】【治邪巫師捷法】【堂祭文】





















